Başvuru başladı: TOKİ'den yüzde 20 indirimli konut müjdesi

TOKİ'den yüzde 20 indirimli konut müjdesi.
Emlak Yönetim tarafından yayınlanan son dakika açıklamasında 7 şehirde toki ev isatışı olacağı, evleri peşin almak isteyenlere konutun yüzde 20 indirimli şekilde verileceği bildirildi.
Çevre, Şehircilik ve İklim Değişikliği Bakanlığı Kentsel Dönüşüm Başkanlığı bünyesindeki Emlak Yönetim'e yapılacak personel alımında başvurular bankadan alınmaya başlandı. Bugün başlayan başvurular ay sonuna kadar devam edecek ve konutları evi olan olmayan herkes alabilecek.
YÜZDE 20 İNDİRİM MÜJDESİ GELDİ
Toki duyurusunda konutları almak isteyenlerin ister taksitli ister indirimli ev alabileceğine yer verildi.
Taksitle almak isteyenler yüzde 25 peşin ve kalan parayı 60 ay vade ile verebilecek.
Peşin almak isteyenlere ise yüzde 20 indirim sunulacak. Örnek vermek gerekirse 1.8 milyon liralık evi peşin almak istediğinizde 360 bin lira indirim yakalayarak evi 1 milyon 440 bin liraya alabileceksiniz.

Toki konut başvurusuna dair yayınlanan şartnamede başvuru şartlarına da yer verildi.
Şartlara baktığımızda Türkiye Cumhuriyeti vatandaşı olan, 18 yaşını geçen her vatandaşın konutlara başvuru yapabileceği bildirildi.
Başvuru bilgileri şöyle:
T.C. Çevre, Şehircilik ve İklim Değişikliği Bakanlığı Kentsel Dönüşüm Başkanlığı tarafından (bundan böyle BAŞKANLIK olarak anılacaktır) bilgileri ‘‘Taşınmaz Listesi’’nde yer alan Kentsel Dönüşüm Başkanlığı mülkiyetindeki muhtelif taşınmazlar, Emlak Yönetim Hizmetleri ve Ticaret A.Ş. (Bundan böyle EMLAK YÖNETİM olarak anılacaktır.) tarafından düzenlenecek Açık Artırma toplantılarında alınacak tekliflerin BAŞKANLIK tarafından değerlendirilmesi yöntemiyle satışa sunulmuştur.
Açık artırma 2886 sayılı Devlet İhale Kanunu, 4734 sayılı Kamu İhale Kanunu ve 4735 sayılı Kamu İhale Sözleşmeleri Kanunu hükümlerine tabi olmayıp işbu şartname 6306 sayılı Afet Riski Altındaki Alanların Dönüştürülmesi Hakkında Kanun, Cumhurbaşkanlığı 1 Nolu Kararnamesi ve Dönüşüm Projeleri Özel Hesabı Yönetmeliği Mevzuatının 25. maddesi kapsamındadır.
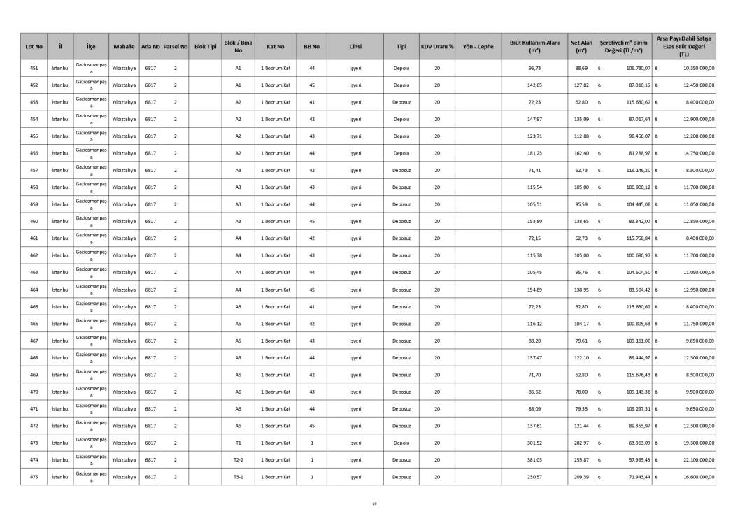
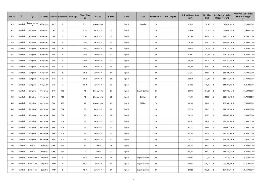
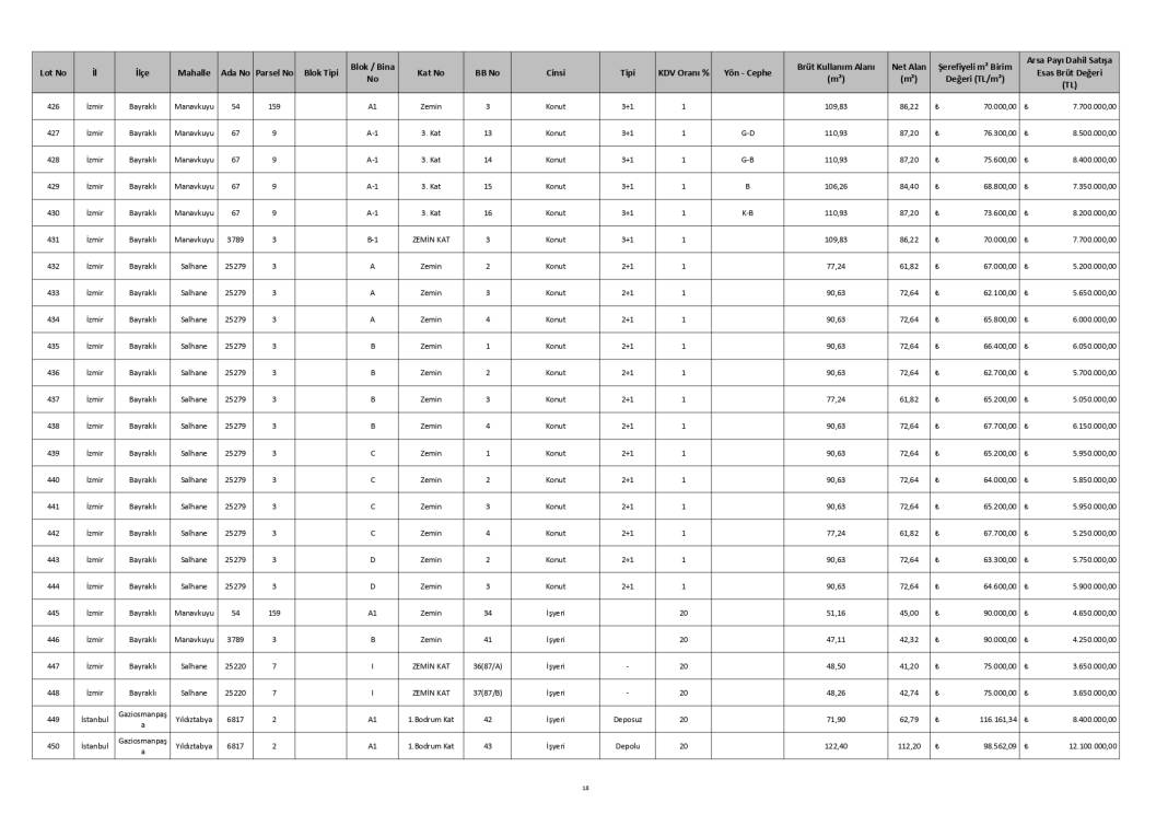
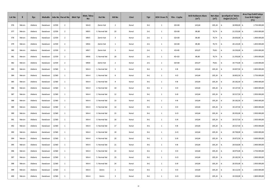
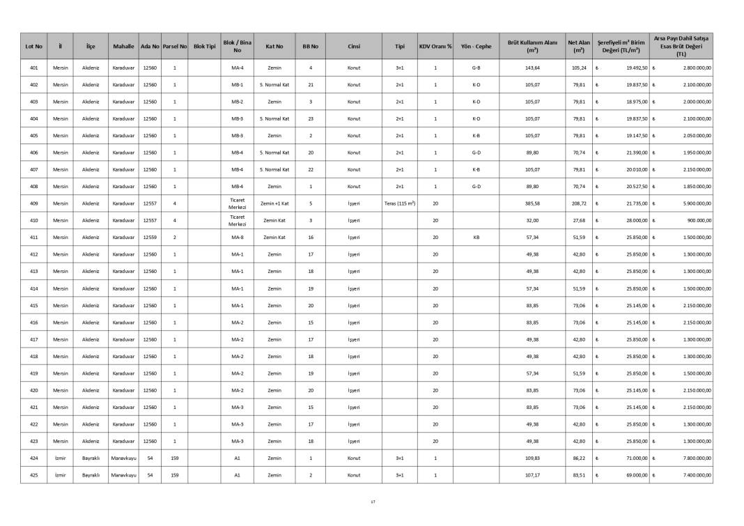
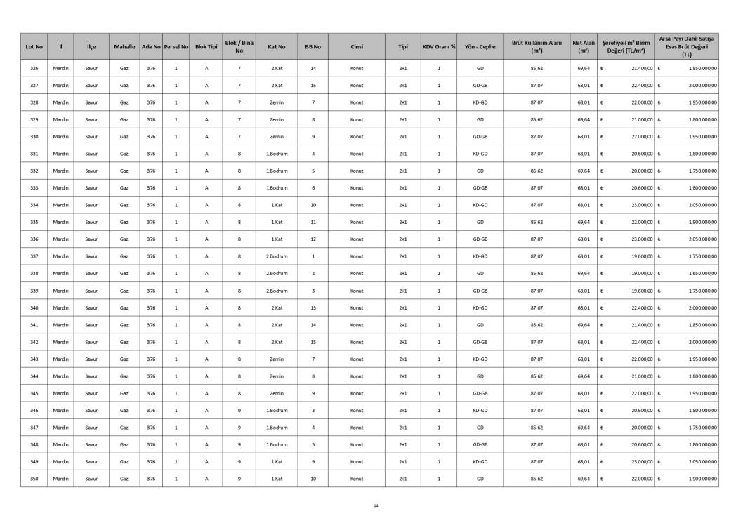
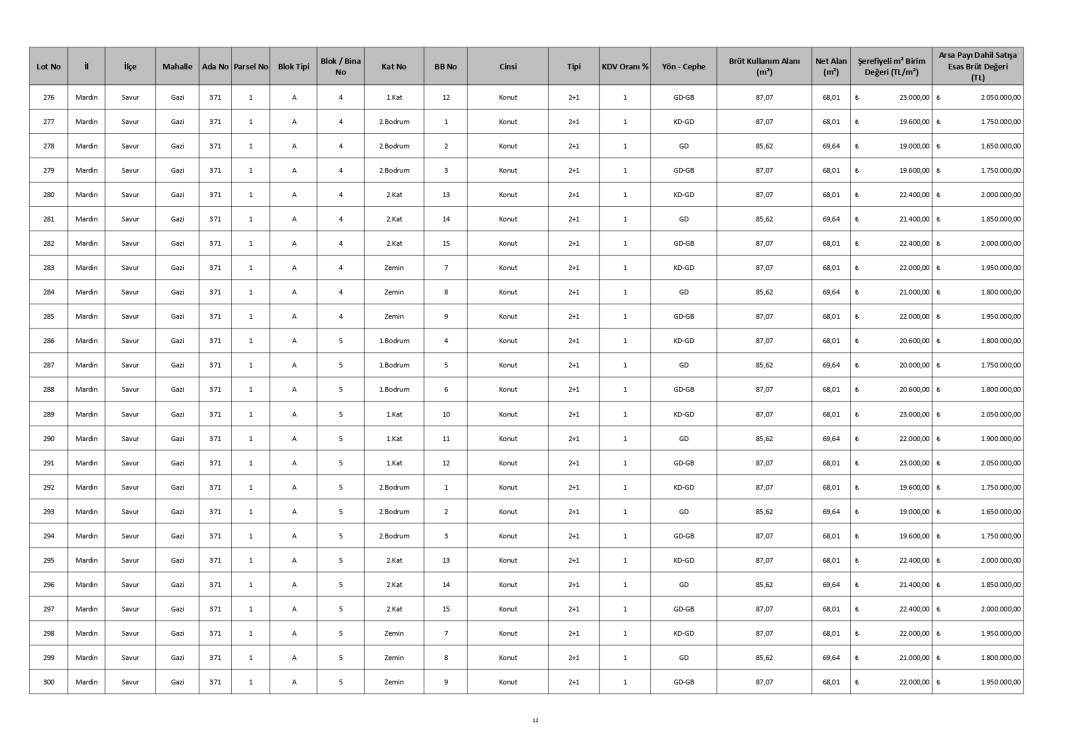
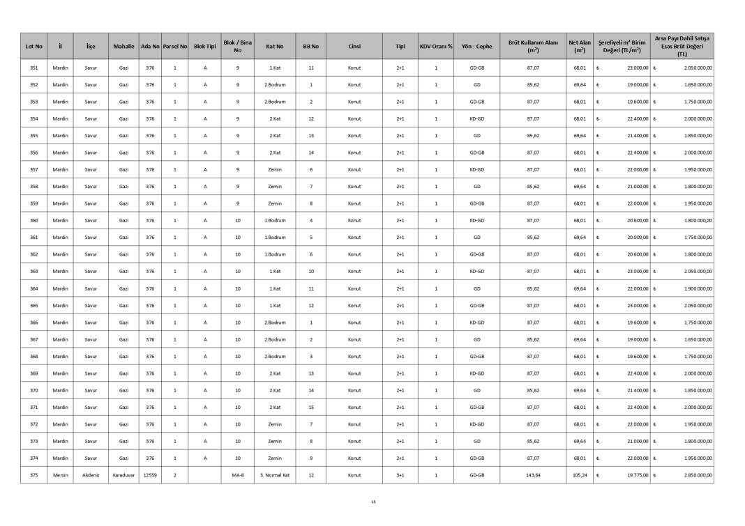
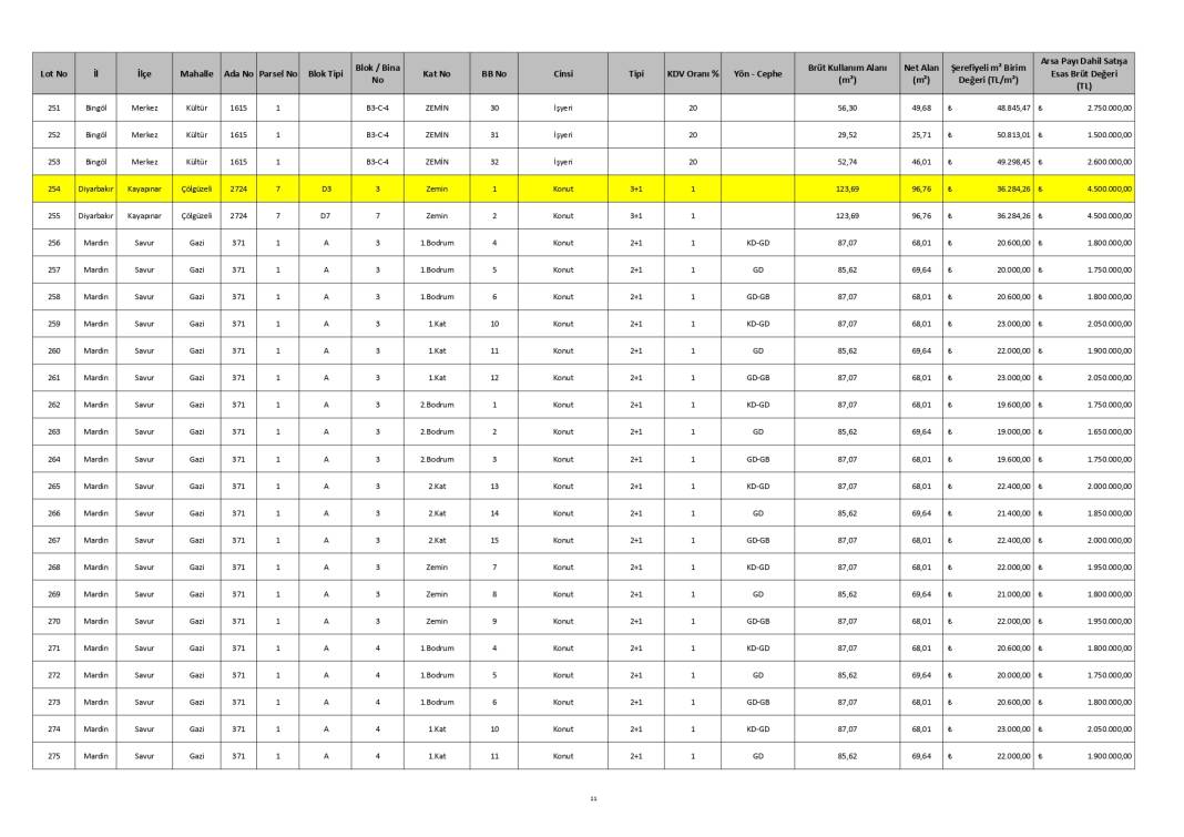
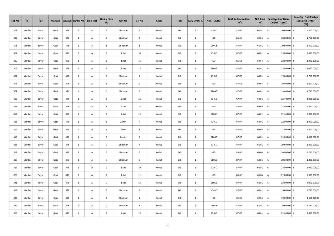
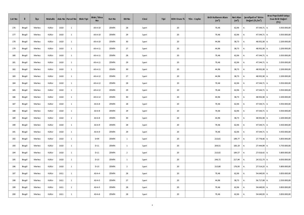
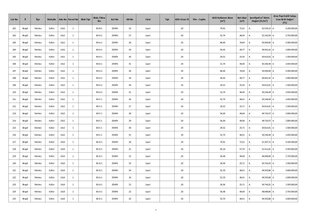
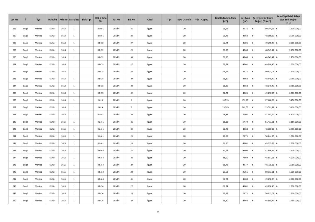
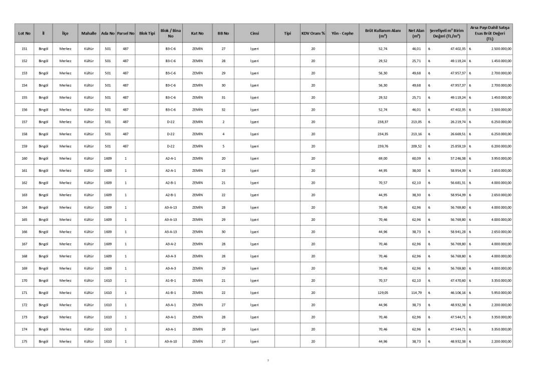
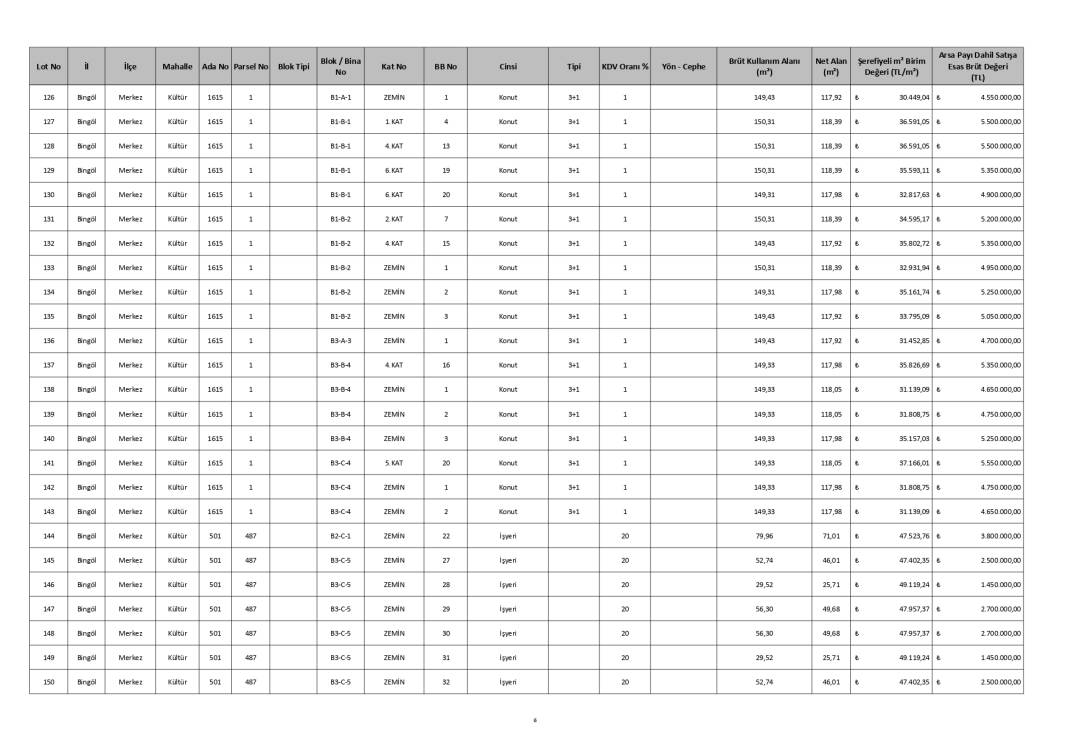
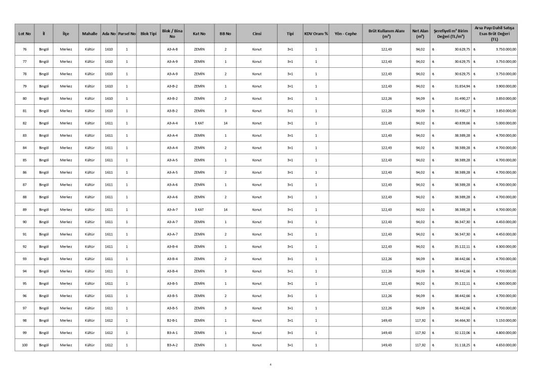
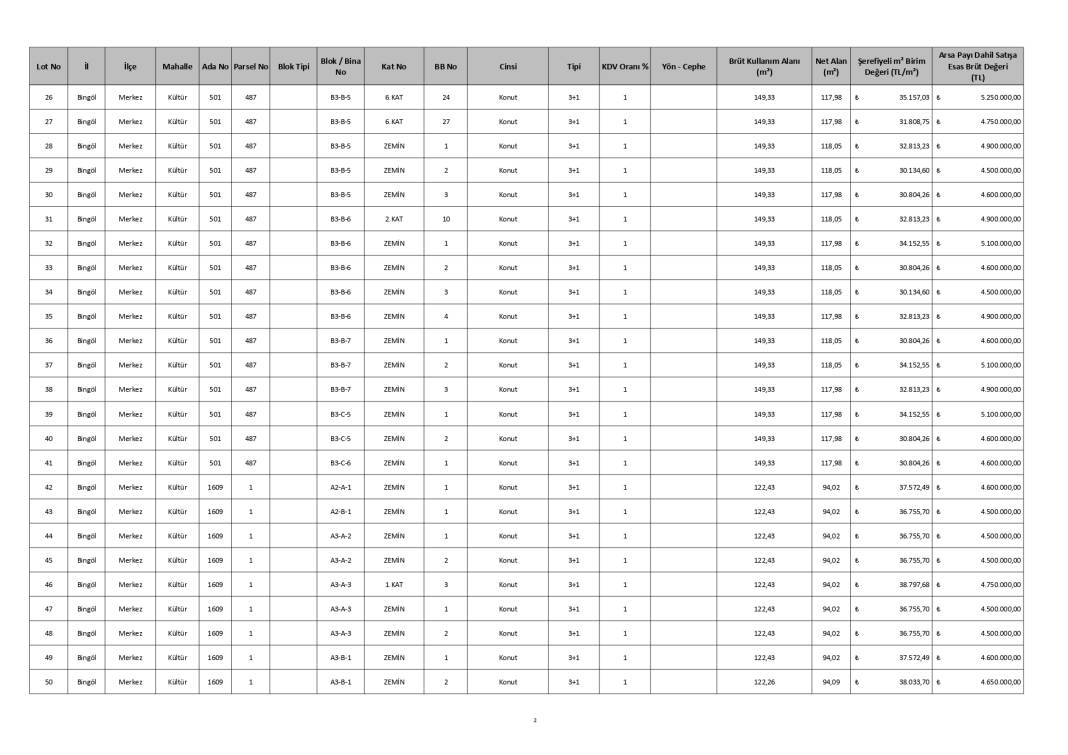
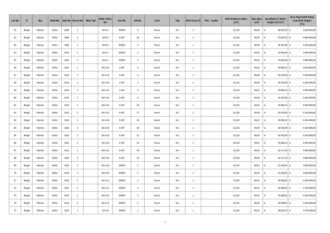
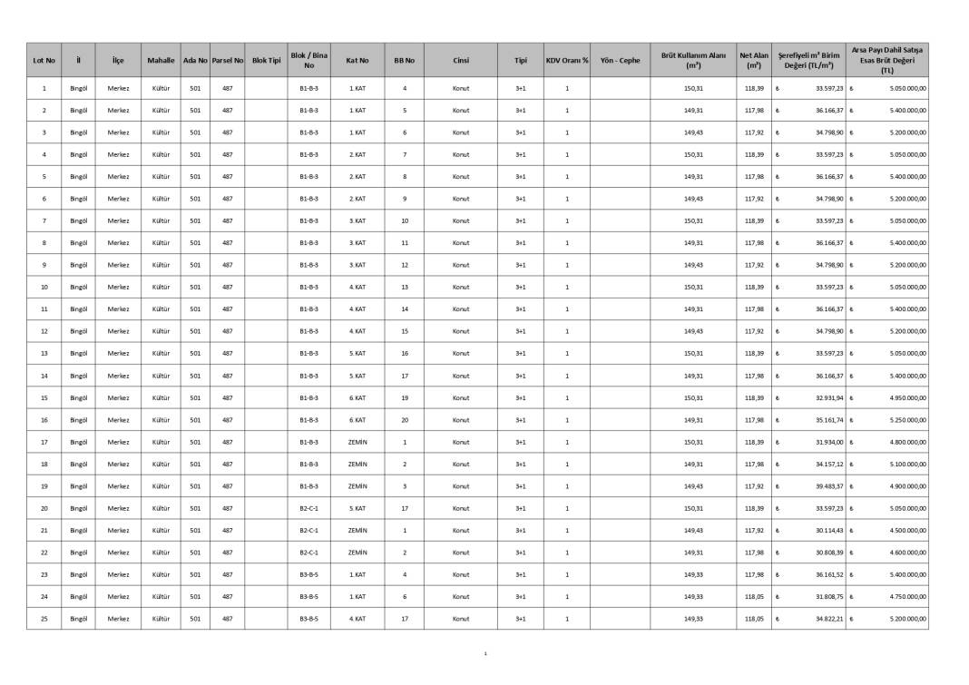
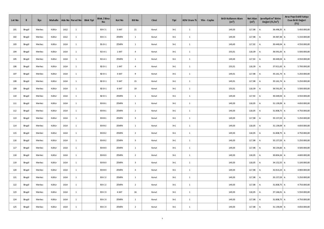
Evi olan olmayan herkesin başvuru yapabileceği konutlarda ikamet şartı bulunmuyor. İkamet şartı olmadan yapılan alımda ise il il konutlar ile işyerlerinin fiyatları, detaylarına şu şekilde yer verildi:

TOKİ konut ve işyeri satışı, il il fiyat listesi ve detaylı başvuru bilgileri 1

TOKİ konut ve işyeri satışı, il il fiyat listesi ve detaylı başvuru bilgileri 2

TOKİ konut ve işyeri satışı, il il fiyat listesi ve detaylı başvuru bilgileri 3

TOKİ konut ve işyeri satışı, il il fiyat listesi ve detaylı başvuru bilgileri 4

TOKİ konut ve işyeri satışı, il il fiyat listesi ve detaylı başvuru bilgileri 5

TOKİ konut ve işyeri satışı, il il fiyat listesi ve detaylı başvuru bilgileri 6

TOKİ konut ve işyeri satışı, il il fiyat listesi ve detaylı başvuru bilgileri 7

TOKİ konut ve işyeri satışı, il il fiyat listesi ve detaylı başvuru bilgileri 8

TOKİ konut ve işyeri satışı, il il fiyat listesi ve detaylı başvuru bilgileri 9

TOKİ konut ve işyeri satışı, il il fiyat listesi ve detaylı başvuru bilgileri 10

TOKİ konut ve işyeri satışı, il il fiyat listesi ve detaylı başvuru bilgileri 11

TOKİ konut ve işyeri satışı, il il fiyat listesi ve detaylı başvuru bilgileri 12

TOKİ konut ve işyeri satışı, il il fiyat listesi ve detaylı başvuru bilgileri 13

TOKİ konut ve işyeri satışı, il il fiyat listesi ve detaylı başvuru bilgileri 14

TOKİ konut ve işyeri satışı, il il fiyat listesi ve detaylı başvuru bilgileri 15

TOKİ konut ve işyeri satışı, il il fiyat listesi ve detaylı başvuru bilgileri 16

TOKİ konut ve işyeri satışı, il il fiyat listesi ve detaylı başvuru bilgileri 17

TOKİ konut ve işyeri satışı, il il fiyat listesi ve detaylı başvuru bilgileri 18

TOKİ konut ve işyeri satışı, il il fiyat listesi ve detaylı başvuru bilgileri 19

TOKİ konut ve işyeri satışı, il il fiyat listesi ve detaylı başvuru bilgileri 20

TOKİ konut ve işyeri satışı, il il fiyat listesi ve detaylı başvuru bilgileri 21.

BAŞVURULAR BUGÜN BANKADAN BAŞLADI
Konutlar için başvurular başladı. Başvuru için evin fiyatına göre belirlenen aşağıdaki teminatı bankaya yatırmanız gerekiyor:
Açık artırma toplantısına katılacak olan gerçek veya tüzel kişiler katılım teminatı olarak;
EMLAK YÖNETİM Hizmetleri ve Ticaret A.Ş’nin Halk Bankası Halkalı Şubesi IBAN (TR25 0001 2009 8780 0010 2623 29) no.lu TL hesabına talip oldukları her taşınmaz için;
Muhammen Bedeli 1.999.999 TL ye kadar olan gayrimenkuller için 100.000 TL,
Muhammen Bedeli 2.000.000 TL ile 2.999.999TL’ye kadar olan gayrimenkuller için 200.000 TL
Muhammen Bedeli 3.000.000 ile 4.999.999 TL’ye kadar olan gayrimenkuller için 400.000 TL
Muhammen Bedeli 5.000.000 ile 7.999.999 TL’ye kadar olan gayrimenkuller için 800.000 TL
Muhammen Bedeli 8.000.000 ile 29.999.999 TL’ye kadar olan gayrimenkuller için 1.600.000 TL
Muhammen Bedeli 30.000.000 ve üstü gayrimenkuller için 3.200.000 TL
Katılım teminatı ödemek zorundadırlar.
BAŞVURU EVRAKLARI BELLİ OLDU
Teminatı yatırdıktan sonra Emlak Yönetim'e gönderilmesi gereken evraklar şöyle:
• Gerçek kişi olması halinde, aslının ibraz edilmesi şartıyla resmi kimlik belgesinin (nüfus cüzdanı, ehliyet, pasaport, avukatlık kimliği) fotokopisi
• Tüzel kişi olması halinde, Şirket İmza Sirküleri, Faaliyet Belgesi, Vergi Levhası, Ticaret Sicil Gazetesi ilanı, şirket kaşesi
• Gerçek veya Tüzel kişiler kendi aralarında ortaklık oluşturmak suretiyle ihaleye katılabilirler. Bu durumda ortaklık hisse oranlarını kişiler şartnamede belirtmelidir. Şartnamede belirtilen oranlar geçerli olup değişiklik yapılmayacaktır.
• Vekâleten katılım olması halinde, vekilin gerçek veya tüzel kişiyi temsile, ilzama, işbu ihaleye katılmaya, teklif vermeye, ihale bedelini ödemeye, işbu şartnamede belirtilen tüm iş ve işlemleri yapmaya vb. hususlarda yetkili olduğuna dair özel yetkiyi içeren noterde düzenlenmiş vekâletnamesi,
• İhalesine katılmak istedikleri her bir gayrimenkul için işbu şartnamenin 2. Maddesinde belirtilen katılım teminatının yatırıldığına dair banka dekontu,
• Her sayfası kaşelenip imzalanmış işbu Açık Artırma ile Satış Şartnamesi ve ekleri (Bu imza hükümlerin kabul edildiği anlamını taşır.)
AYRINTILI BİLGİLERE TELEFONDAN ULAŞABİLECEKSİNİZ
Ayrıntılı bilgilere, "www.toki.gov.tr" ile "muzayede.emlakyonetim.com.tr" internet adreslerinden ve "4448434" numaralı telefondan ulaşılabilecek.
Türkçe karakter kullanılmayan ve büyük harflerle yazılmış yorumlar onaylanmamaktadır.