MSB, askeriyeye binlerce memur alımı yapıyor
Milli Savunma Bakanlığı yüzlerce kadroda istihdam etmek üzere personel alımı yapacağını açıkladı. Personel alımı başvurusu için son günlere girilirken MSB, 25 Ocak 2026 tarihine kadar başvuru yapacakların e-devlet girişi ile PERTEM üzerinden başvurusunu yapması gerektiğini söyledi.
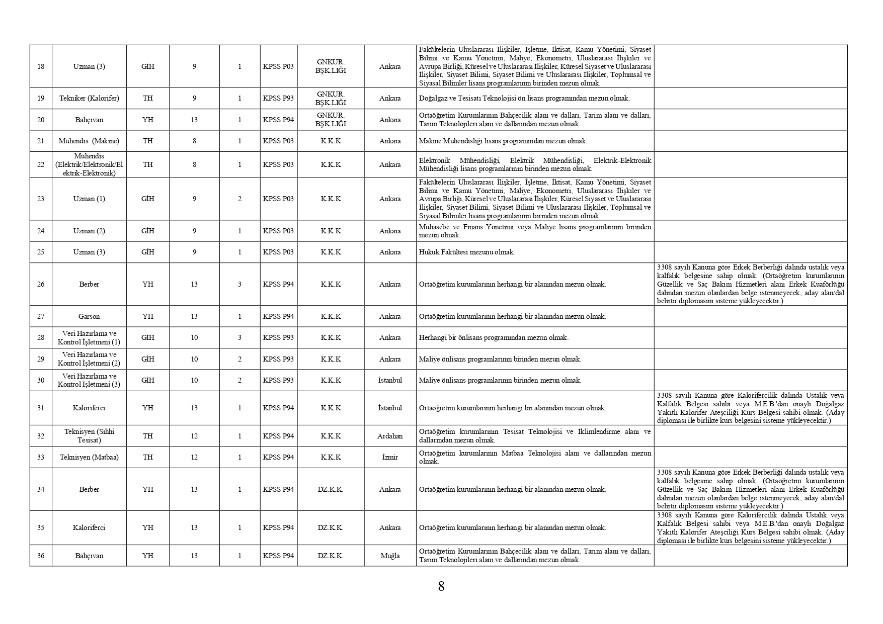
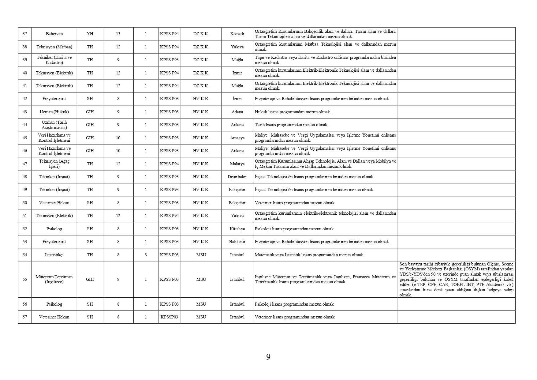
Millî Savunma Bakanlığı, Genelkurmay Başkanlığı, Kara Kuvvetleri Komutanlığı, Deniz Kuvvetleri Komutanlığı, Hava Kuvvetleri Komutanlığı ve Millî Savunma Üniversitesinde istihdam edilmek üzere 657 sayılı Devlet Memurları Kanunu’nun 4’üncü maddesinin (b) fıkrası kapsamında yapılacak kamu personel alımında kadrolar şu şekilde açıklandı:
HANGİ KADROLARA PERSONEL ALIMI YAPILACAK?
Büro personeli
Muhasebeci
Şoför
Hizmetli
Aşçı
Kuaför
Bahçıvan
Kaloriferci
Çocuk bakıcısı
Hasta bakıcı
Bulaşıkçı
Garson
Berber
Boyacı
İstatistikçi
Grafiker
Mühendis
Psikolog
Sosyal çalışmacı
Doktor
Tekniker
Teknisyen
Kuru temizlemeci
Fırıncı
Terzi
Ütücü
Avukat
Uzman
VHKİ
Mimar
Fizyoterapist
Veteriner hekim
ÖZEL ŞARTLARI:

































BAŞVURU ŞARTLARI NEDİR?
MSB memur alımına başvuru yapacak adayların aşağıdaki şartları taşıması gerekmektedir:
a) 657 sayılı Devlet Memurları Kanunu'nun 48'inci maddesindeki genel şartları taşımak,
b) Ölçme, Seçme ve Yerleştirme Merkezi Başkanlığı (ÖSYM) tarafından 2024 yılında yapılan Kamu Personeli Seçme Sınavına (KPSS) katılmış ve puan almış olmak,
c) Başvuru tarihi itibariyle üst öğrenim durumuna göre nitelik tablosunda (Tablo-2) bulunan her bir pozisyon ünvanı için belirlenen niteliklere sahip olmak,
ç) Süresi içinde istenen bilgi ve belgeleri sisteme yüklemiş olarak başvuru işlemini tamamlamak.
BAŞVURU NASIL YAPILACAK?
İlan başvurusu "https://personeltemin.msb.gov.tr/" adresi üzerinden e-devlet girişi ile yapılacak.
Türkçe karakter kullanılmayan ve büyük harflerle yazılmış yorumlar onaylanmamaktadır.