Milli Savunma Bakanlığı 1457 personel memur alımı PERTEM başvuru ekranı açıldı
136
Milli Savunma Bakanlığı sözleşmeli 1457 personel alımı başvuru ekranı açıldı ve başvurular alınmaya başlandı.
Resmi açıklamada Milli Savunma Bakanlığı bünyesine kadrolu memur ve sözleşmeli kamu personel alımı yapılacağı görülüyor.
En az ortaöğretim mezunları arasından yapılacak kadın erkek memur alımında adaylar Millî Savunma Bakanlığı, Genelkurmay Başkanlığı, Kuvvet Komutanlıkları ve Millî Savunma Üniversitesi bünyesinde istihdam edilecek.
657 sayılı Devlet Memurları Kanunu, Millî Savunma Bakanlığına İlk Defa Devlet Memuru Olarak Atanacaklar İçin Yapılacak Sınavlar Hakkında Yönetmelik ile Millî Savunma Bakanlığı Personel ve Askerî Öğrenci Temin Faaliyetleri Yönetmeliği esaslarına göre gerçekleştirilecek kamu personel alımında başvuru bilgileri şöyle:
a) Millî Savunma Bakanlığı, Genelkurmay Başkanlığı, Kuvvet Komutanlıkları ve Millî Savunma Üniversitesinde istihdam edilmek üzere Tablo-1’de belirtilen faaliyet takvimine uygun olarak Tablo-2’de yer alan niteliklerde devlet memuru kadrolarına; 657 sayılı Devlet Memurları Kanunu, Millî Savunma Bakanlığına İlk Defa Devlet Memuru Olarak Atanacaklar İçin Yapılacak Sınavlar Hakkında Yönetmelik ile Millî Savunma Bakanlığı Personel ve Askerî Öğrenci Temin Faaliyetleri Yönetmeliği esaslarına göre personel temini yapılacaktır.
b) Temin süreci; başvuru, evrak kontrol, mülakat sınavı, sağlık kurulu raporu işlemleri ile güvenlik soruşturması ve arşiv araştırması aşamalarından oluşmaktadır.
c) Bakanlık gerek gördüğü takdirde başvuru kılavuzunda değişiklik yapabilecektir. Başvuru süresince adayların kılavuzda yapılacak güncellemeleri takip etmeleri gerekmektedir.
ç) Her adayın sadece bir tercih hakkı bulunmaktadır.
d) Nitelik tablosunda belirtilen bölümlere, denkliği Yükseköğretim Kurulu Kararı ile kabul edilen bölümlerden mezun olan adaylar da başvuru yapabilecektir.
e) Başvuru kılavuzunda belirtilmeyen hususlar hakkında ilgili mevzuat hükümlerine göre işlem yapılacaktır.
f) Şehit, gazi eş ve çocuklarının; anne, baba veya eşinin bu durumunu gösterir belge ile başvurularında almış oldukları merkezi sınav puanına, aldığı puanın %10 fazlası eklenerek hesaplanmış puanı dikkate alınır. Bu fıkra hükümleri sadece;
(1) Türk Silahlı Kuvvetlerinin erbaş ve erler dâhil askeri personeli, Jandarma Hizmetleri sınıfı ve Sahil Güvenlik Hizmetleri sınıfına mensup personel ile Jandarma Genel Komutanlığı ve Sahil Güvenlik Komutanlığında görevli sözleşmeli subay, sözleşmeli astsubay, uzman erbaş, sözleşmeli erbaş ve er ile erbaş ve erleri, Emniyet Teşkilatından Emniyet Hizmetleri sınıfına mensup personel ve Millî İstihbarat Teşkilâtı Başkanlığı personelinden hayatını kaybetmesi nedeniyle 8/6/1949 tarihli ve 5434 sayılı Türkiye Cumhuriyeti Emekli Sandığı Kanunu’nun mülga 45’inci, 56’ncı ve 64’üncü maddeleri, 31/5/2006 tarihli ve 5510 sayılı Sosyal Sigortalar ve Genel Sağlık Sigortası Kanunu’nun 47’nci maddesi, 12/4/1991 tarihli ve 3713 sayılı Terörle Mücadele Kanunu, 3/11/1980 tarihli ve 2330 sayılı Nakdi Tazminat ve Aylık Bağlanması Hakkında Kanun ve 2330 sayılı Kanun hükümleri uygulanarak aylık bağlanmasını gerektiren kanunlara göre harp veya vazife malulü sayılanların,
(2) Türk Silahlı Kuvvetlerinin erbaş ve erler dâhil askeri personeli, Jandarma Hizmetleri sınıfı ve Sahil Güvenlik Hizmetleri sınıfına mensup personel ile Jandarma Genel Komutanlığı ve Sahil Güvenlik Komutanlığında görevli sözleşmeli subay, sözleşmeli astsubay, uzman erbaş, sözleşmeli erbaş ve er ile erbaş ve erleri, Emniyet Teşkilatından Emniyet Hizmetleri sınıfına mensup personel ve Milli İstihbarat Teşkilâtı Başkanlığı personeli, diğer kamu görevlileri, güvenlik korucuları ve sivillerden hayatını kaybeden veya malul olan ve 5434 sayılı Kanun’un mülga 64’üncü maddesi, 5510 sayılı Kanun’un 47’nci maddesinin sekizinci fıkrası, 3713 sayılı Kanun, 2330 sayılı Kanun ve 2330 sayılı Kanun hükümleri uygulanarak aylık bağlanmasını gerektiren kanunlara göre kendisine veya yakınlarına aylık bağlananların,
(3) 24/2/1968 tarihli ve 1005 sayılı İstiklal Madalyası Verilmiş Bulunanlara Vatani Hizmet Tertibinden Şeref Aylığı Bağlanması Hakkında Kanun kapsamında aylık bağlananların,
(4) 8/2/2018 tarihli ve 7091 sayılı Olağanüstü Hal Kapsamında Alınması Gereken Tedbirler Hakkında Kanun Hükmünde Kararnamenin Kabul Edilmesine Dair Kanun’un 9’uncu maddesi kapsamında tazminat hakkından yararlandırılanların eş ve çocukları hakkında uygulanır.
g) Asil listedeki adaylardan; çeşitli sebeplerle atanamayanlar, atamaları iptal olanlar veya atama yapılmadığı için boş kalan kadrolara, Bakanlıkça gerekli görülürse sınav sonucunun ilanından itibaren bir yıllık süreyi aşmamak üzere yapılacak müteakip sınava kadar, yedek listedeki adaylardan en yüksek puan alan yedek adaydan başlamak üzere atama yapılabilir. Yedek listedeki adayların hakları, daha sonraki sınavlar için müktesep hak veya herhangi bir öncelik teşkil etmez.
236
KİMLER BAŞVURU YAPABİLİR?
İlana başvuru yapacak adaylarda aranan şartlar şöyle:
a) 657 sayılı Devlet Memurları Kanunu'nun 48'inci maddesindeki genel şartları taşımak,
b) Ölçme, Seçme ve Yerleştirme Merkezi Başkanlığı (ÖSYM) tarafından 2024 yılında yapılan Kamu Personeli Seçme Sınavına (KPSS) katılmış ve puan almış olmak,
c) Başvuru tarihi itibariyle üst öğrenim durumuna göre nitelik tablosunda (Tablo-2) bulunan her bir kadro unvanı için belirlenen niteliklere sahip olmak,
ç) Süresi içinde istenen bilgi ve belgeleri sisteme yüklemiş olarak başvuru işlemini tamamlamak.
336
Kadro dağılımı, özel şartlar ve başvuru bilgileri sie şöyle:
436
Kadro dağılımı, özel şartlar ve başvuru bilgileri sie şöyle:
536
Kadro dağılımı, özel şartlar ve başvuru bilgileri sie şöyle:
636
Kadro dağılımı, özel şartlar ve başvuru bilgileri sie şöyle:
736
Kadro dağılımı, özel şartlar ve başvuru bilgileri sie şöyle:
836
Kadro dağılımı, özel şartlar ve başvuru bilgileri sie şöyle:
936
Kadro dağılımı, özel şartlar ve başvuru bilgileri sie şöyle:
1036
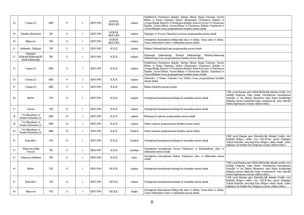
Kadro dağılımı, özel şartlar ve başvuru bilgileri sie şöyle:
1136
Kadro dağılımı, özel şartlar ve başvuru bilgileri sie şöyle:
1236
Kadro dağılımı, özel şartlar ve başvuru bilgileri sie şöyle:
1336
Kadro dağılımı, özel şartlar ve başvuru bilgileri sie şöyle:
1436
Kadro dağılımı, özel şartlar ve başvuru bilgileri sie şöyle:
1536
Kadro dağılımı, özel şartlar ve başvuru bilgileri sie şöyle:
1636
Kadro dağılımı, özel şartlar ve başvuru bilgileri sie şöyle:
1736
Kadro dağılımı, özel şartlar ve başvuru bilgileri sie şöyle:
1836
Kadro dağılımı, özel şartlar ve başvuru bilgileri sie şöyle:
1936
Kadro dağılımı, özel şartlar ve başvuru bilgileri sie şöyle:
2036
Kadro dağılımı, özel şartlar ve başvuru bilgileri sie şöyle:
2136
Kadro dağılımı, özel şartlar ve başvuru bilgileri sie şöyle:
2236
Kadro dağılımı, özel şartlar ve başvuru bilgileri sie şöyle:
2336
Kadro dağılımı, özel şartlar ve başvuru bilgileri sie şöyle:
2436
Kadro dağılımı, özel şartlar ve başvuru bilgileri sie şöyle:
2536
Kadro dağılımı, özel şartlar ve başvuru bilgileri sie şöyle:
2636
Kadro dağılımı, özel şartlar ve başvuru bilgileri sie şöyle:
2736
Kadro dağılımı, özel şartlar ve başvuru bilgileri sie şöyle:
2836
Kadro dağılımı, özel şartlar ve başvuru bilgileri sie şöyle:
2936
Kadro dağılımı, özel şartlar ve başvuru bilgileri sie şöyle:
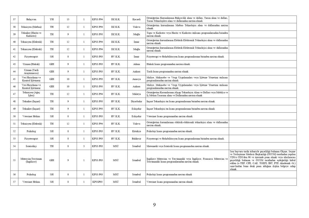
3036
Kadro dağılımı, özel şartlar ve başvuru bilgileri sie şöyle:
3136
Kadro dağılımı, özel şartlar ve başvuru bilgileri sie şöyle:
3236
Kadro dağılımı, özel şartlar ve başvuru bilgileri sie şöyle:
3336
Kadro dağılımı, özel şartlar ve başvuru bilgileri sie şöyle:
3436
Kadro dağılımı, özel şartlar ve başvuru bilgileri sie şöyle:
3536
Kadro dağılımı, özel şartlar ve başvuru bilgileri sie şöyle:
3636
BAŞVURU EKRANI AÇILDI
Hem sözleşmeli personel hem kadrolu memur alımı başvuru ekranı açıldı ve başvurular alınmaya başlandı.
Başvuru yapacak adayların aşağıdaki adımları takip ederek başvurusunu yapması gerekiyor:
Başvuru ekranı için tıklayın
Türkçe karakter kullanılmayan ve büyük harflerle yazılmış yorumlar onaylanmamaktadır.