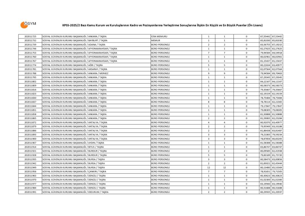
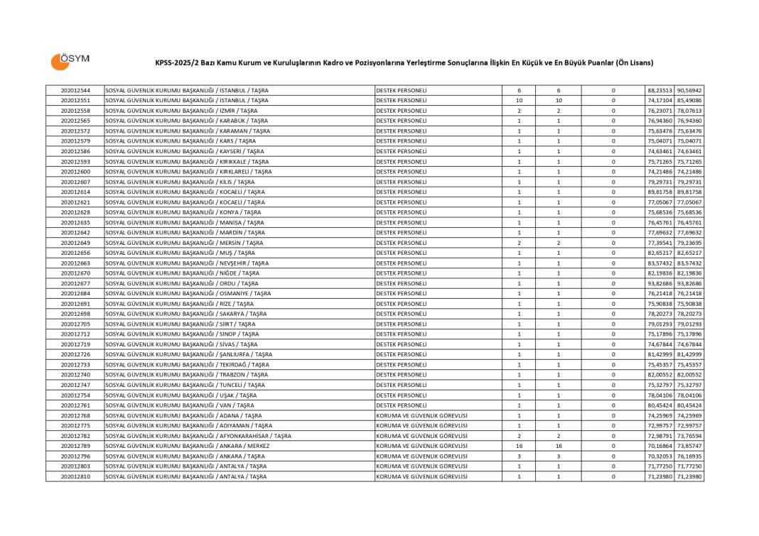
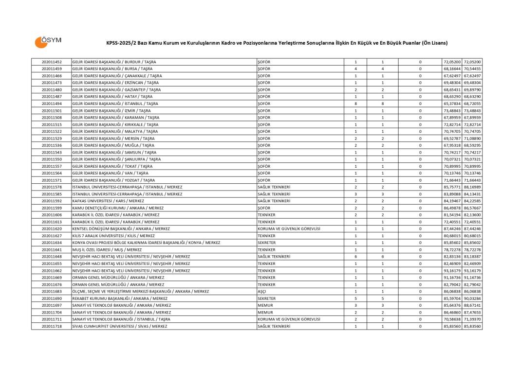
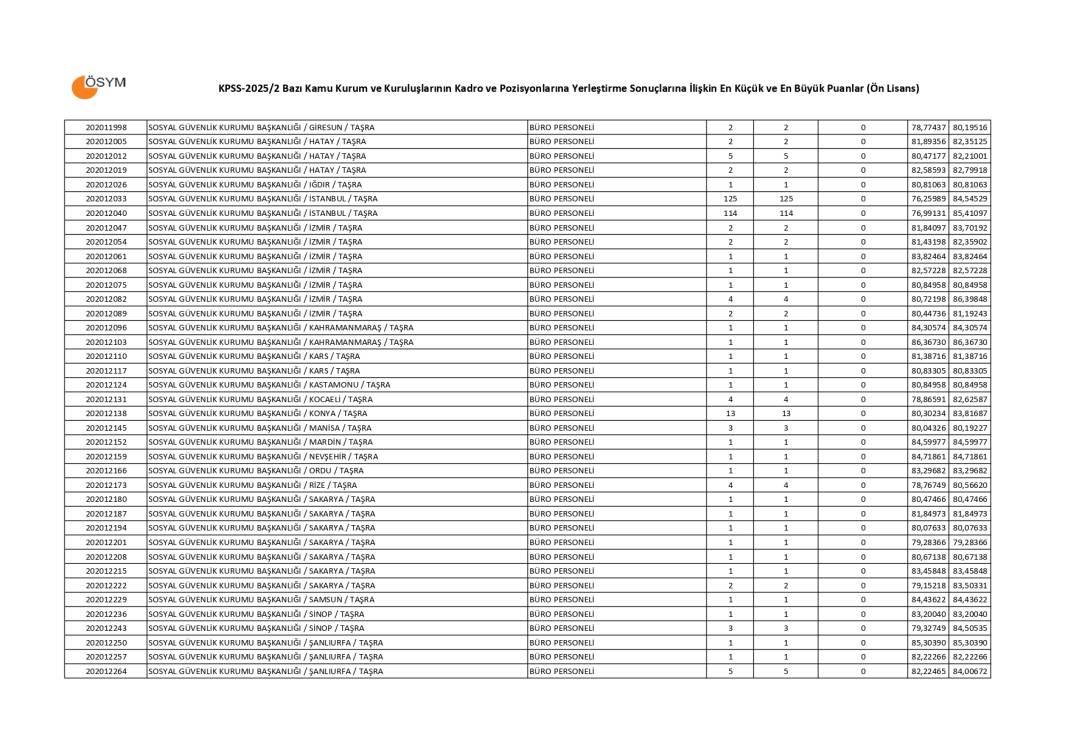
KPSS 2025/2 önlisans taban puanlar
116
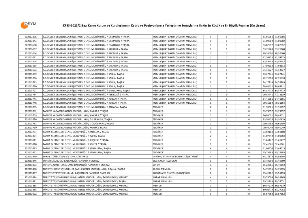
KPSS 2025/2 memur alımı tercih sonuçları açıklandı. Açıklanan sonuçların ardından taban puanlar belli oldu.
İşte ön lisans mezunu memur alımında merkezi yerleştirmede en düşük puanla kapatan kadrolar.
216
KPSS 2025/2 ön lisans kadroları taban puanları.
316
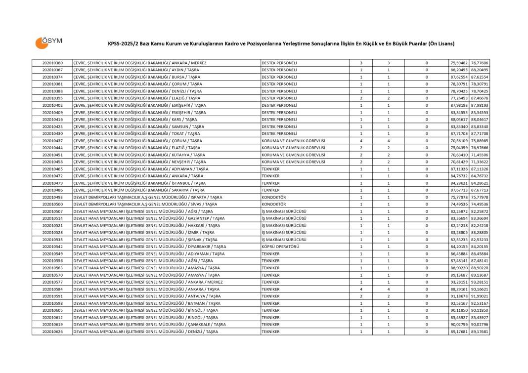
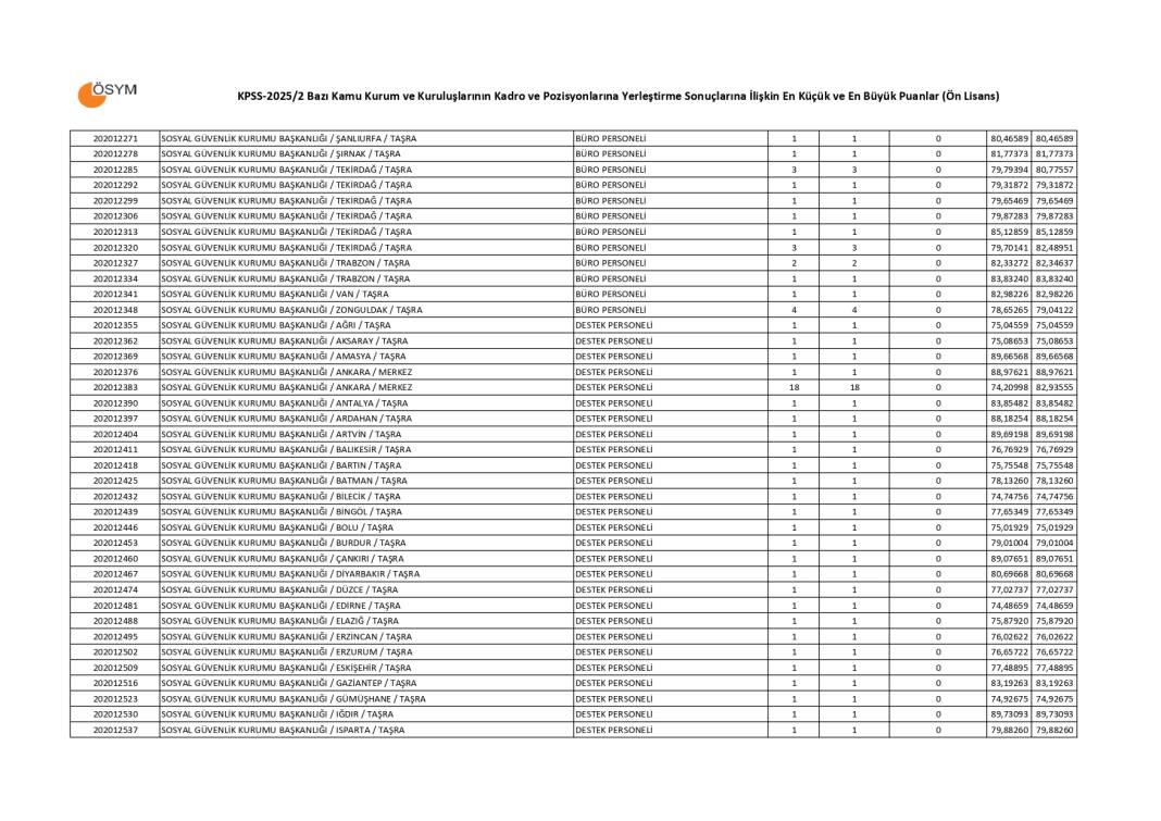
KPSS 2025/2 ön lisans kadroları taban puanları.
416
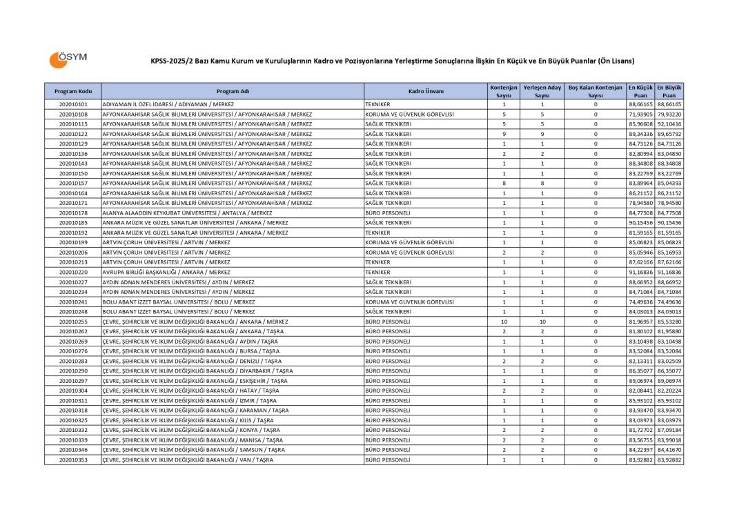
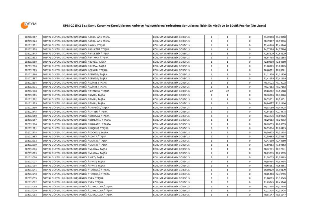
KPSS 2025/2 ön lisans kadroları taban puanları.
516
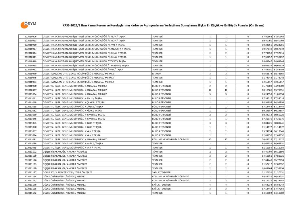
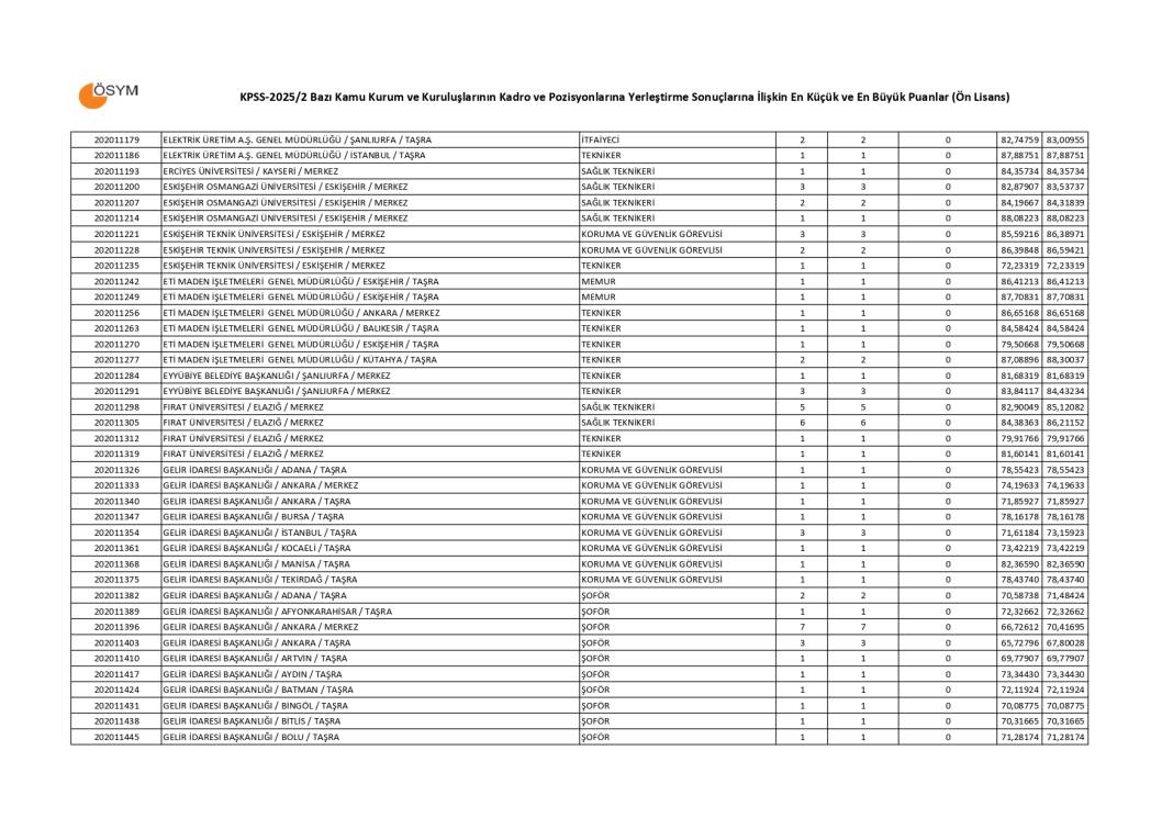
KPSS 2025/2 ön lisans kadroları taban puanları.
616
KPSS 2025/2 ön lisans kadroları taban puanları.
716
KPSS 2025/2 ön lisans kadroları taban puanları.
816
KPSS 2025/2 ön lisans kadroları taban puanları.
916
KPSS 2025/2 ön lisans kadroları taban puanları.
1016
KPSS 2025/2 ön lisans kadroları taban puanları.
1116
KPSS 2025/2 ön lisans kadroları taban puanları.
1216
KPSS 2025/2 ön lisans kadroları taban puanları.
1316
KPSS 2025/2 ön lisans kadroları taban puanları.
1416
KPSS 2025/2 ön lisans kadroları taban puanları.
1516
KPSS 2025/2 ön lisans kadroları taban puanları.
1616
KPSS 2025/2 ön lisans kadroları taban puanları.
Türkçe karakter kullanılmayan ve büyük harflerle yazılmış yorumlar onaylanmamaktadır.