En az lise mezunlarına 50 KPSS ile memurluk
KPSS'den en az 50 puan alanlara memurluk!
KPSS'den en az 50 puan alan adayları ilgilendiren son dakika açıklaması geldi. Milli Savunma Bakanlığı, askeriyede çalışmak isteyen kadın erkek adaylara iş kapısı açıldığını, başvuru yapacakların 25 Ocak 2026 tarihine kadar başvurusunu yapması gerekmektedir.
BAŞVURU GENEL ŞARTLARI
Türkiye Cumhuriyeti vatandaşı olan adayların başvuru yapabileceği ilanda genel koşullar netleşti. 657 sayılı Devlet Memurları Kanunu'nun 48'inci maddesindeki genel şartları taşıyan adaylardan yapılacak personel alımında genel koşullar şöyle:
Mezuniyet:
Başvuru yapacakların en az lise mezunu olması gerekmektedir.
Cinsiyet:
Başvurular kadın erkek adaylar arasından alınıyor.
KPSS sınırı:
Başvuruda KPSS puan sınırı yok. 80 alan da, 50 alan da, 60 alan da başvuru yapabilecek.
HANGİ KADROLARA ALIM YAPILIYOR?
Askeriye personel alımı kadroları şöyle:
- Büro personeli
- Mühendis
- Muhasebeci
- Psikolog
- Şoför
- Sosyal çalışmacı
- Hizmetli
- doktor
- Aşçı
- Tekniker
- Kuaför
- Teknisyen
- Bahçıvan
- Kuru temizlemeci
- Kaloriferci
- Fırıncı
- Çocuk bakıcısı
- Terzi
- Hasta bakıcı
- Ütücü
- Bulaşıkçı
- Avukat
- Garson
- Uzman
- Berberi
- Veri Hazırlama ve Kontrol İşletmeni
- Boyacı
- Mimar
- İstatistikçi
- Fizyoterapist
- Grafiker
- Veteriner hekim
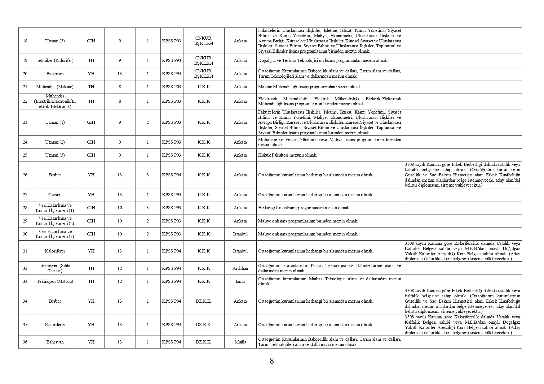
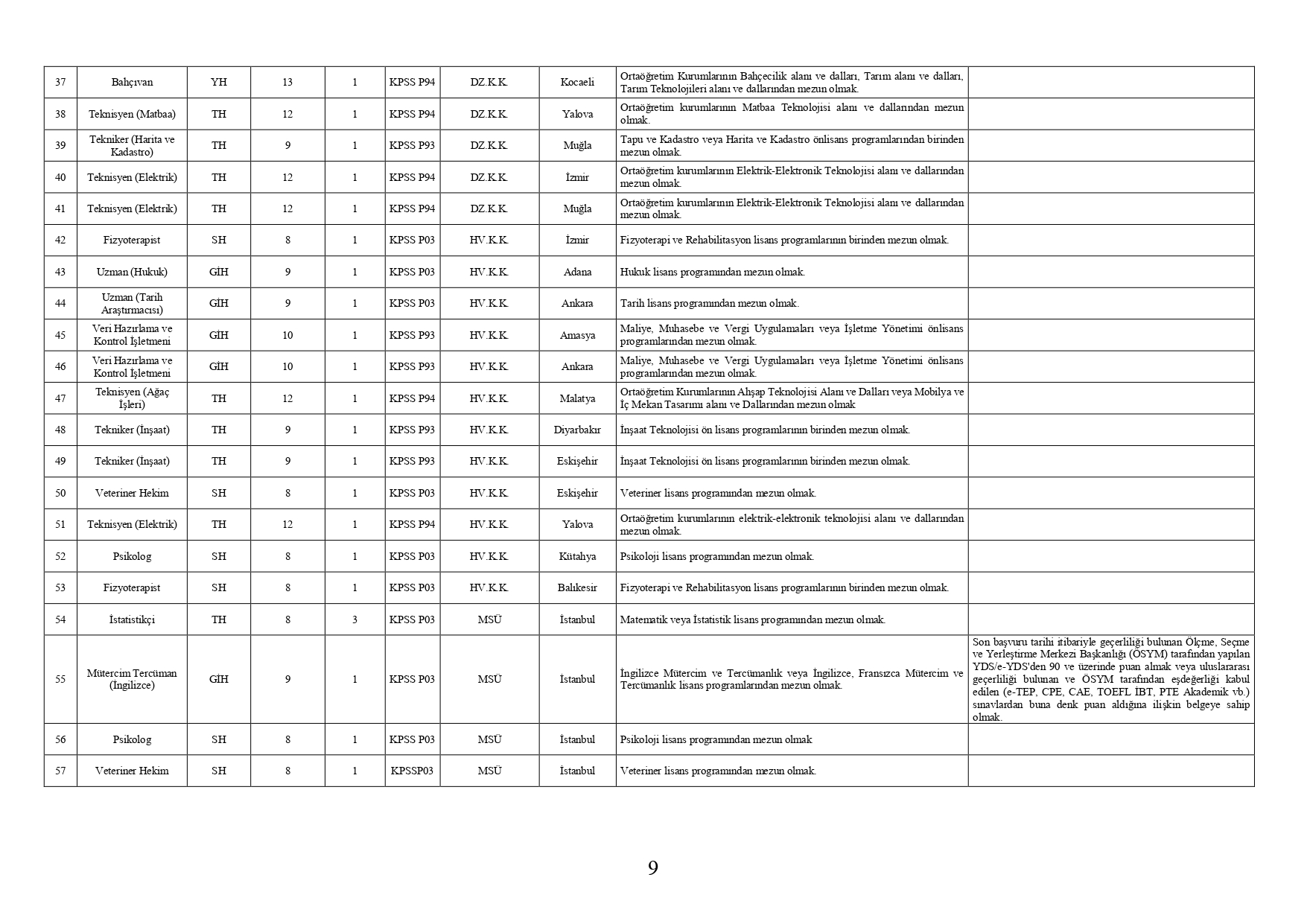
Personel alımında kadro kontenjan dağılımı ve başvuru özel şartları ise şu şekilde açıklandı:

































Fotoğrafların büyük hali ve başvuru kılavuzları:
1. ilan için Tıkla
2. ilan için Tıkla
BAŞVURU NASIL YAPILACAK?
İş ilanına başvurular internet üzerinden alınıyor. Başvuru yapacakların aşağıdaki linke gitmesi gerekiyor:
Başvuru için tıklayın
Memur alımının sonuçlarının ise Şubat sonunda açıklanması bekleniyor. Sonuçlar için memur365'i takipte kalın.
Türkçe karakter kullanılmayan ve büyük harflerle yazılmış yorumlar onaylanmamaktadır.