MSB 1457 personel alımı sonuçları açıklandı: 55 KPSS ile memur alımı oldu
MSB sözleşmeli personel alımı başvuru sonuçları da açıklandı.
Milli Savunma Bakanlığı sözleşmeli 1457 sözleşmeli personel alımı başvuru sonuçları ve KPSS taban puanları açıklandı.
MSB'nin memur alımı sonuçlarından sonra sözleşmeli personel alımı sonuçları da açıklandı.
MSB personeltemin sayfasından yayınlanan resmi duyuruda şu ifadelere yer verildi:
1. Millî Savunma Bakanlığına, Genelkurmay Başkanlığına, Kuvvet Komutanlıkları ve Millî Savunma Üniversitesine 2025 Yılı Sözleşmeli Personel Temini kapsamında ön inceleme sonucunda başvurusu kabul edilen adaylardan, alım yapılacak her ünvan için alınacak personel sayısının 10 katı aday ilgili KPSS puan türüne göre en yüksek puandan başlanarak çağrı listeleri belirlenmiştir. Son sıradaki adayla eşit puan alan adaylar da mülakata çağrılacaktır.
2. Çağrı Kontenjanına giren adaylar 13-22 Şubat 2026 (en geç saat 23:30'a kadar) tarihleri arasında sınav ücretlerini yatırılacaktır.
3. Sınav ücretini yatıran adaylar için Mülakat Sınavına ayrıca çağrı yapılacaktır.
4. Sınav ücreti 300 (üçyüz) TL'dir.
5. Sınav ücreti yatırmak için T.C. Vakıflar Bankasının internet/mobil bankacılık uygulaması veya ATM cihazları üzerinden Ödemeler/Eğitim ve Sınav Ödemeleri/Sınav Ödemeleri/Milli Savunma Bakanlığı Personel Sınav Ödemeleri ekranından, başvuru sahibinin (adayın) TC Kimlik Numarası girilerek yatırılacaktır.
6. Başvuruda Şehit/Gazi Eş veya Çocuğu Olduğunu Belirten Adaylar;
a. Başvuru esnasında şehit/gazi yakınlığı seçimi yapmış olan adaylardan sınav ücreti yatırmayanların şehit/gazi yakınlığı aşağıda belirtilen kapsamda değilse adaylığı sonlandırılacaktır.
b. Millî Savunma Bakanlığına İlk Defa Devlet Memuru Olarak Atanacaklar İçin Yapılacak Sınavlar Hakkında Yönetmelik'in 6'ncı maddesinin 2. fıkrasında belirtilen şehit/gazi eş ve çocukları, ilgili kurumdan/bakanlıktan (Sosyal Güvenlik Kurumu veya Aile ve Sosyal Hizmetler Bakanlığı) alınmış kanun numarasını belirtir onaylı belgeyi başvuru esnasında taratarak sisteme yükleyecek, sınava gelirken belgenin aslını ve bir adet fotokopisini beraberinde getirecektir. Söz konusu belgeyi başvuru esnasında sisteme yükleyen şehit/gazi eş ve çocukları sınav ücreti yatırmayacaktır.
c. Sehven yapılan sınav ücreti ödemeleri iade edilmeyecek/devredilmeyecektir.
7. Sınav ücretini yatırmayan (şehit/gazi eş ve çocukları hariç) adayların başvuruları geçersiz sayılacaktır.
8. Sınav ücretlerini yatırdığı halde başvuru şartlarını sağlamayan, sınava girmeyen, sınava giremeyen, sınava alınmayan, sınavdan çıkarılan, sınavı geçersiz sayılan, sınav aşamalarının herhangi birinde başarısız olan, sağlık raporu ve güvenlik soruşturması/arşiv araştırması aşamalarının herhangi biri olumsuz sonuçlanan adayların sınav ücretleri iade edilmeyecek/devredilmeyecektir. Bu konu ile ilgili itiraz başvuruları dikkate alınmayacaktır. Sınav ücretlerinin doğru yatırılmasının sorumluluğu tamamen adaya aittir.
9. Adayın kendi kusuru dışında idari sebeplerle sınava girememesi durumunda, sınavın ait olduğu yıl içerisinde dilekçe ile başvuruda bulunduğu takdirde kendisine ücret iadesi yapılabilecektir.
10. Başvuru sonucunuzu e-Devlet şifrenizle giriş yaptıktan sonra Tercihlerim menüsü altından öğrenebilirsiniz.
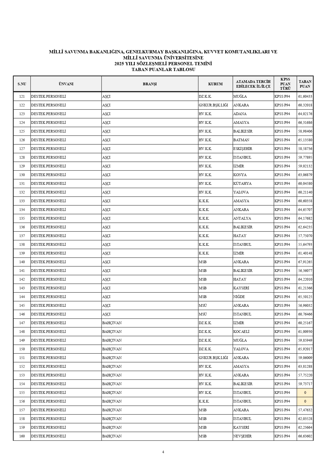
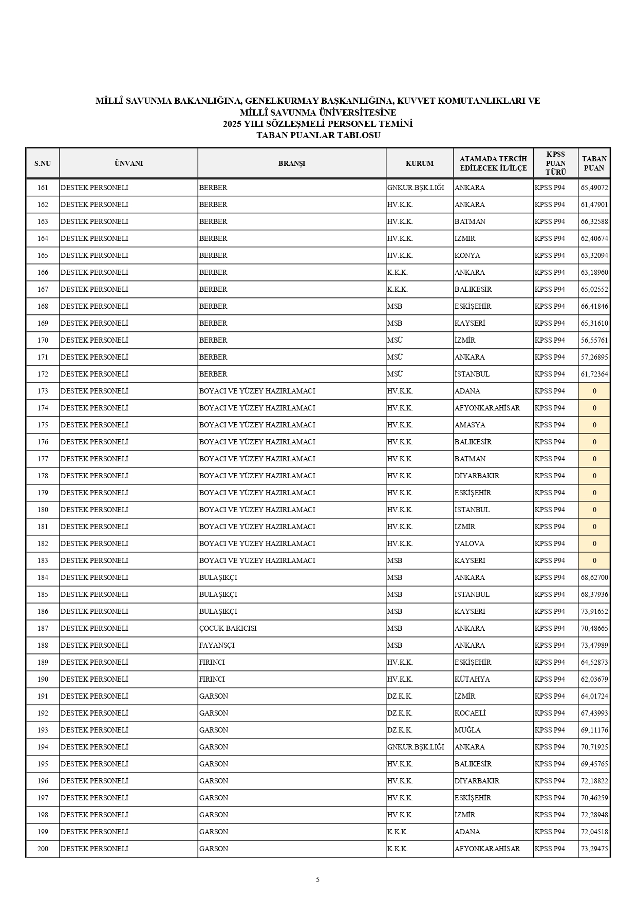
TABAN PUANLAR
Personel alımında taban puanlar şöyle oluştu:















Başvuru sonuç sorgulama ekranına gitmek için lütfen TIKLAYIN
Türkçe karakter kullanılmayan ve büyük harflerle yazılmış yorumlar onaylanmamaktadır.