KPSS 2025/2 lisans taban puanları
127
Lisans KPSS taban puanları.
KPSS merkezi yerleştirme tercih sonuçlarının ardından lisans mezunu memur alımında taban puanlar belli oldu.
İşte KPSS taban puanları lisans.
227
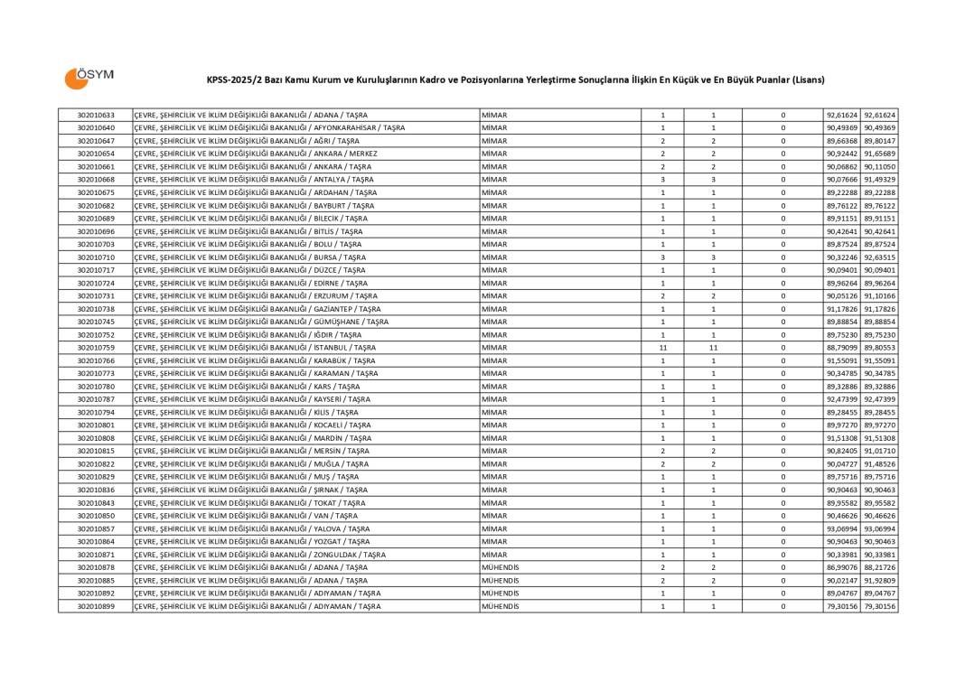
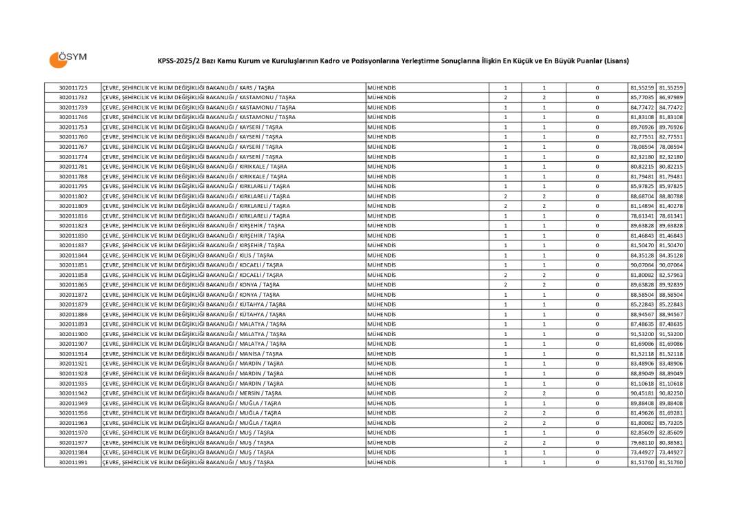
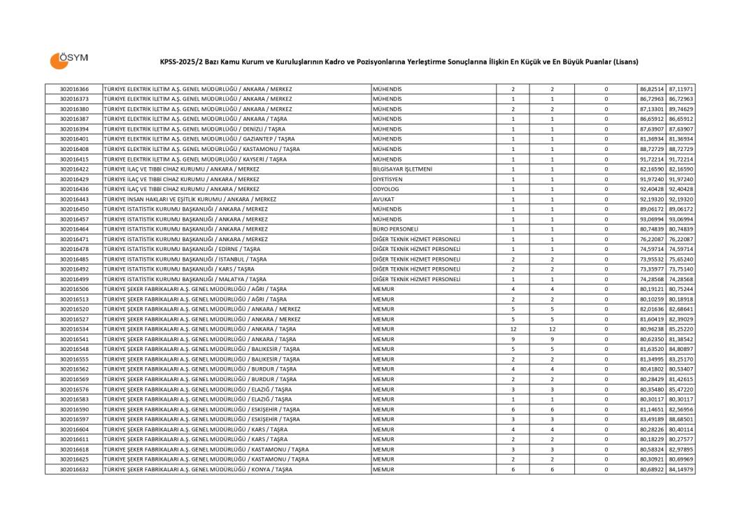
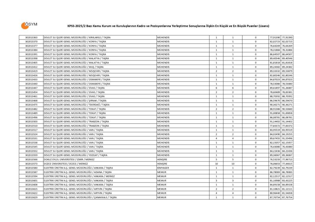
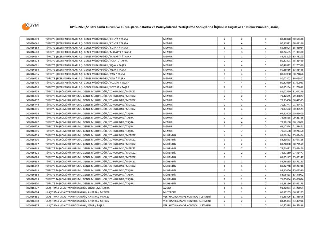
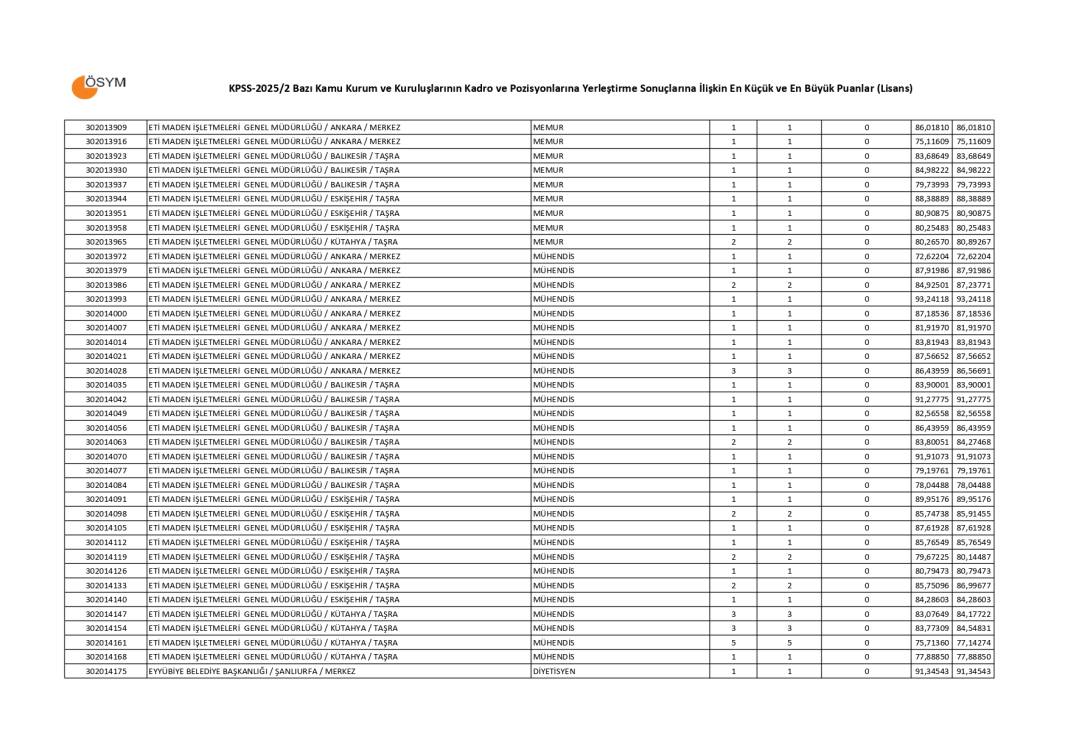
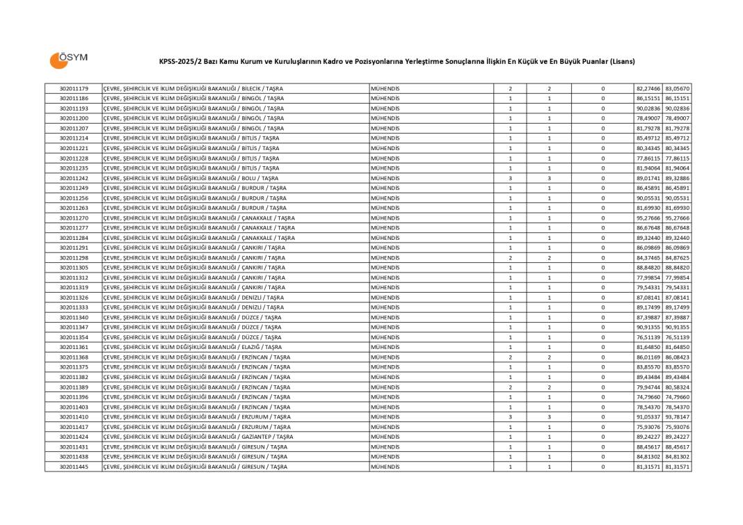
KPSS 2025/2 merkezi atama tercih sonuçları lisans taban puanları.
327
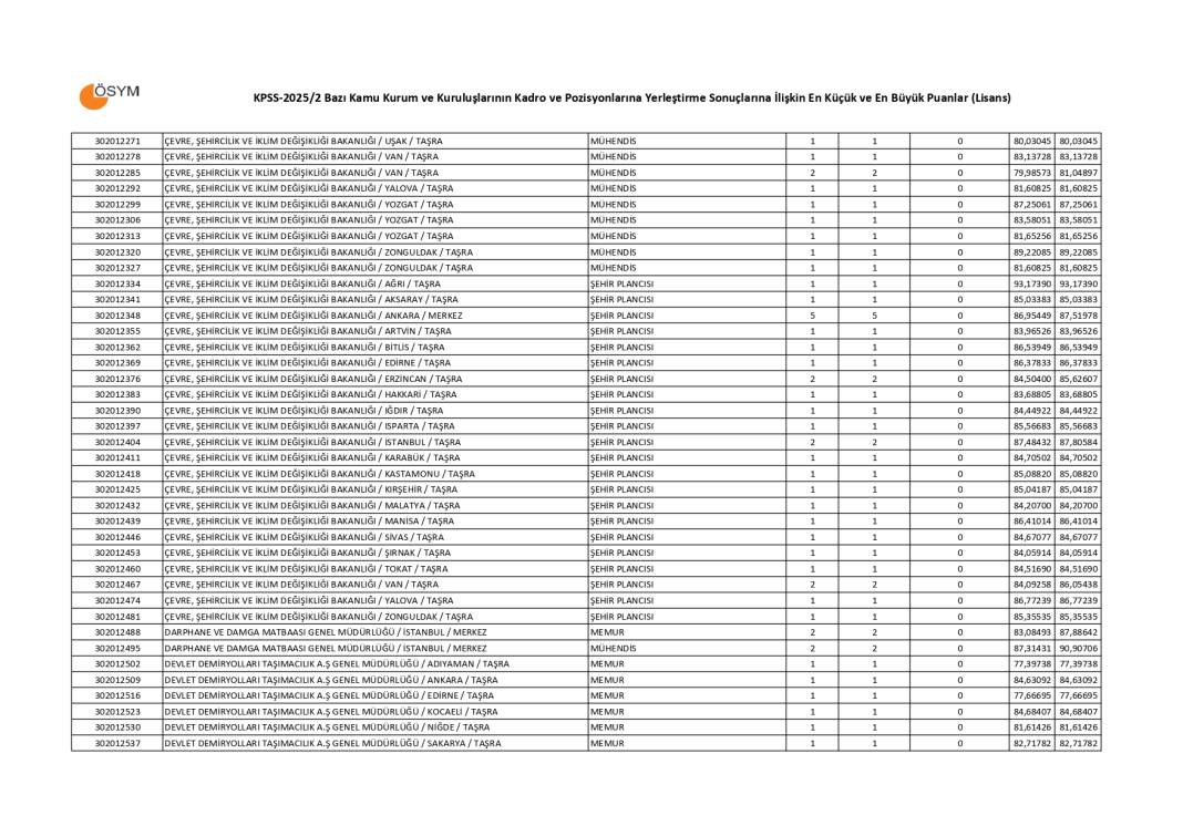
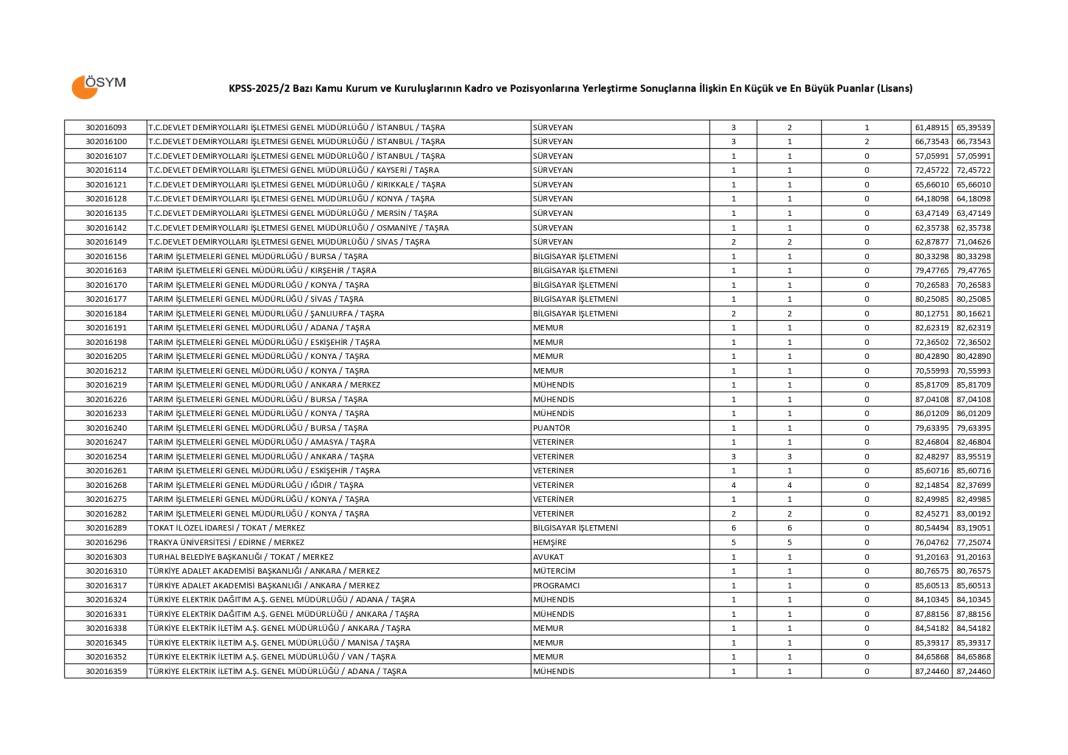
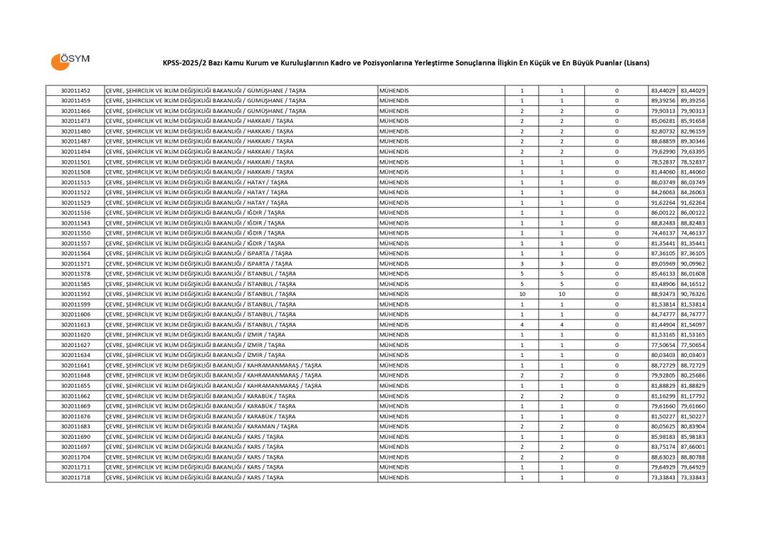
KPSS 2025/2 merkezi atama tercih sonuçları lisans taban puanları.
427
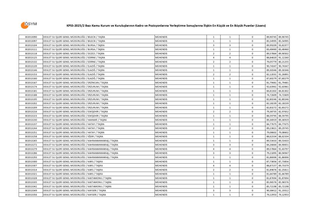
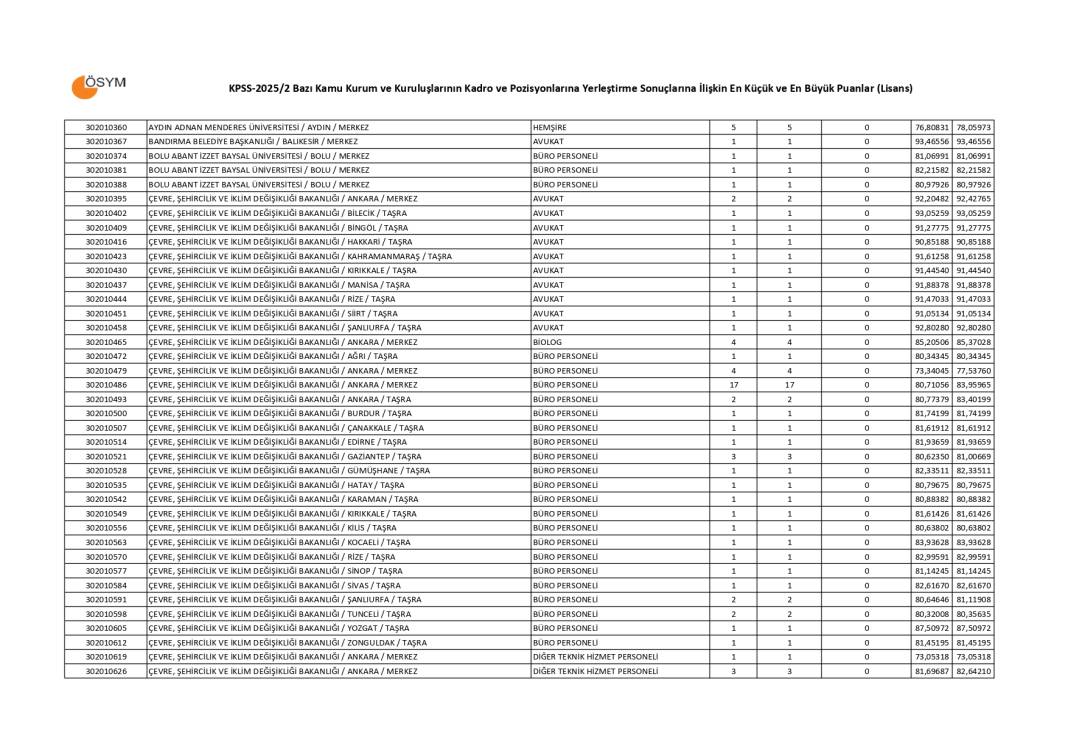
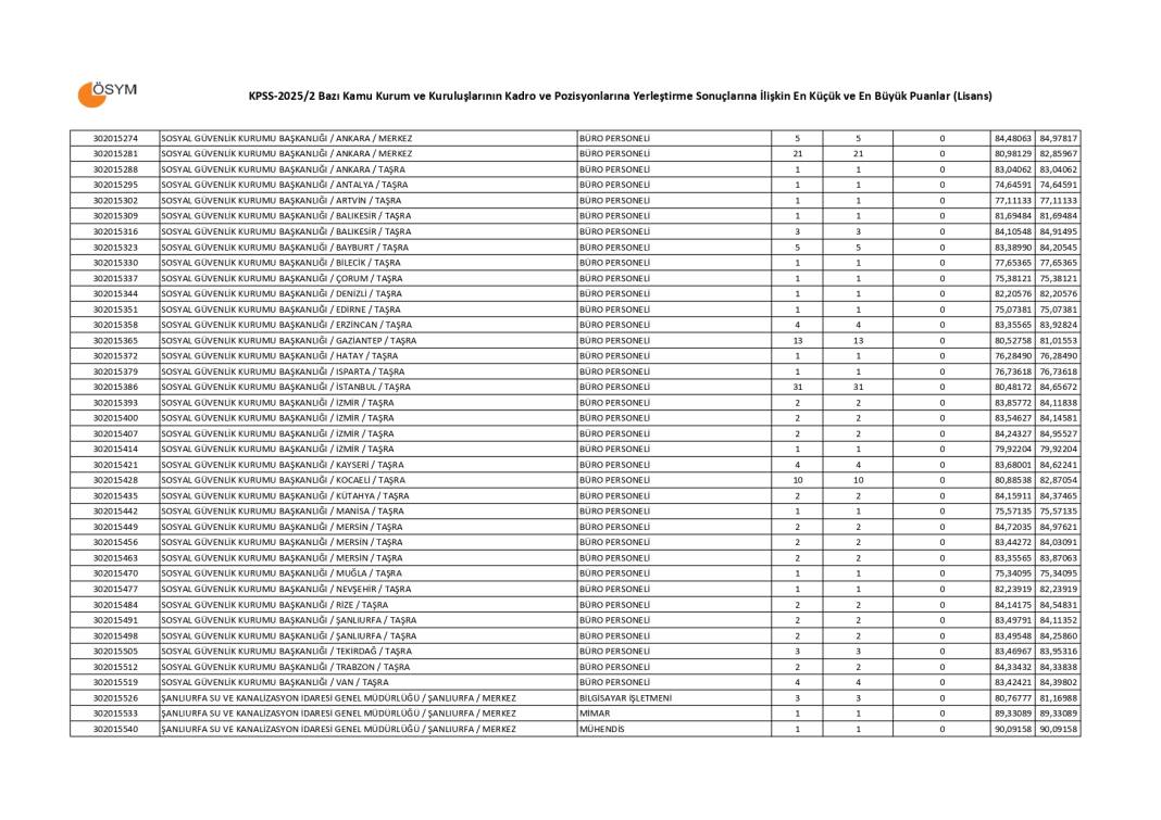
KPSS 2025/2 merkezi atama tercih sonuçları lisans taban puanları.
527
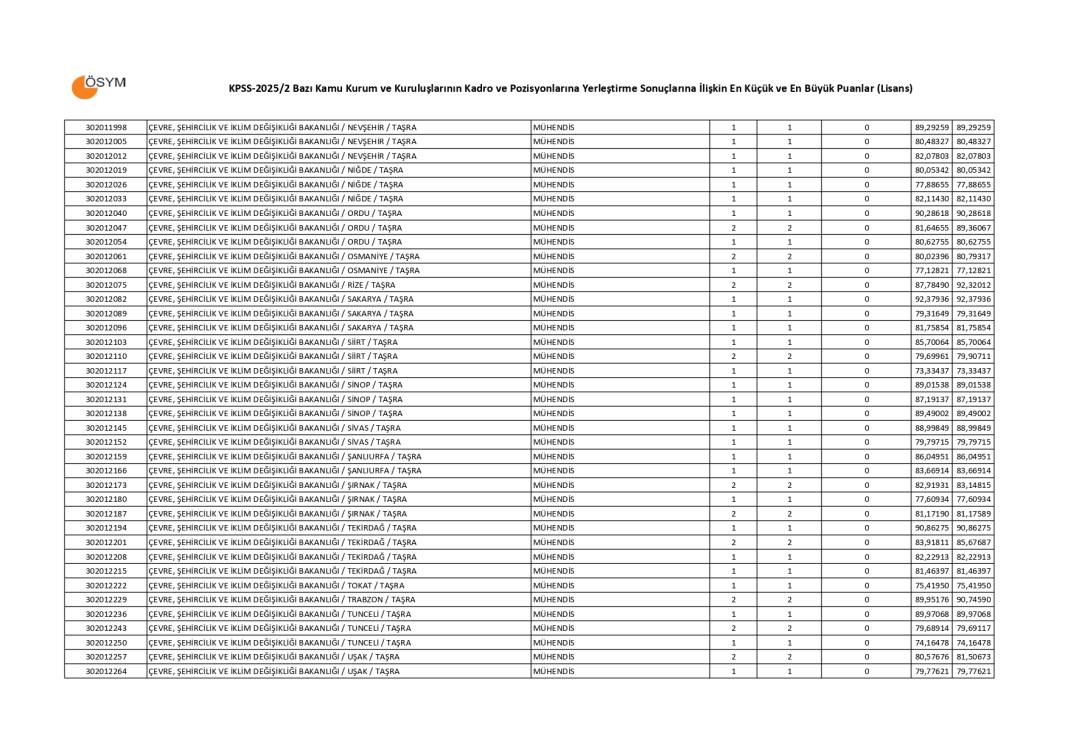
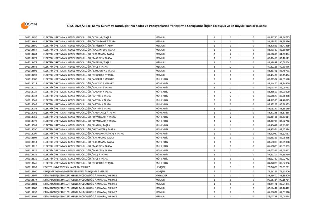
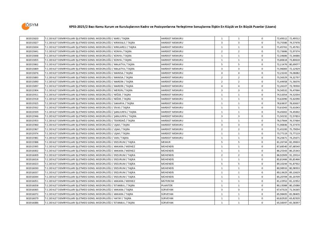
KPSS 2025/2 merkezi atama tercih sonuçları lisans taban puanları.
627
KPSS 2025/2 merkezi atama tercih sonuçları lisans taban puanları.
727
KPSS 2025/2 merkezi atama tercih sonuçları lisans taban puanları.
827
KPSS 2025/2 merkezi atama tercih sonuçları lisans taban puanları.
927
KPSS 2025/2 merkezi atama tercih sonuçları lisans taban puanları.
1027
KPSS 2025/2 merkezi atama tercih sonuçları lisans taban puanları.
1127
KPSS 2025/2 merkezi atama tercih sonuçları lisans taban puanları.
1227
KPSS 2025/2 merkezi atama tercih sonuçları lisans taban puanları.
1327
KPSS 2025/2 merkezi atama tercih sonuçları lisans taban puanları.
1427
KPSS 2025/2 merkezi atama tercih sonuçları lisans taban puanları.
1527
KPSS 2025/2 merkezi atama tercih sonuçları lisans taban puanları.
1627
KPSS 2025/2 merkezi atama tercih sonuçları lisans taban puanları.
1727
KPSS 2025/2 merkezi atama tercih sonuçları lisans taban puanları.
1827
KPSS 2025/2 merkezi atama tercih sonuçları lisans taban puanları.
1927
KPSS 2025/2 merkezi atama tercih sonuçları lisans taban puanları.
2027
KPSS 2025/2 merkezi atama tercih sonuçları lisans taban puanları.
2127
KPSS 2025/2 merkezi atama tercih sonuçları lisans taban puanları.
2227
KPSS 2025/2 merkezi atama tercih sonuçları lisans taban puanları.
2327
KPSS 2025/2 merkezi atama tercih sonuçları lisans taban puanları.
2427
KPSS 2025/2 merkezi atama tercih sonuçları lisans taban puanları.
2527
KPSS 2025/2 merkezi atama tercih sonuçları lisans taban puanları.
2627
KPSS 2025/2 merkezi atama tercih sonuçları lisans taban puanları.
2727
KPSS 2025/2 merkezi atama tercih sonuçları lisans taban puanları.
Türkçe karakter kullanılmayan ve büyük harflerle yazılmış yorumlar onaylanmamaktadır.